티스토리 뷰
일반화학
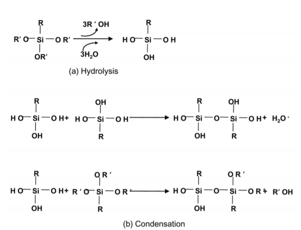
실란 커플링제의 가수분해 및 축합 반응 메커니즘 ( Hydrolysis and self-condensation reaction mechanism of silane coupling agent)
영웅시대 2020. 10. 10. 10:23336x280(권장), 300x250(권장), 250x250, 200x200 크기의 광고 코드만 넣을 수 있습니다.

실란 커플링제의 가수분해반응과 축합반응은 실란 구조 중 유기계 관능기와 온도, pH, 농도, 물의 양과 촉매의 양 등의 요소에 의해 반응속도에 영향을 받는다.
용액의 pH의 경우, pH가 3∼5일 때 반응속도를 조절하여 기판의 표면처리에 적합하다고 알려져 있다. pH조절을 위해 사용하는 산촉매는 염산 또는 아세트산을 사용. (출처: https://www.cheric.org/PDF/PK/PK35/PK35-4-0302.pdf)
'일반화학' 카테고리의 다른 글
| 화학 공부용 노트.jpg (0) | 2020.12.19 |
|---|---|
| 이산화탄소를 화학적 흡수하는 방법 (0) | 2020.10.11 |
| 우연오차 (0) | 2020.04.16 |
| 계통적 오차의 확인 (0) | 2020.04.16 |
| 계통적 오차 (0) | 2020.04.16 |
