그래핀의 이론적 표면적 계산하기 (Calculation specific surface area of single graphene)

그래핀은 그림1에서 볼 수 있는 것처럼, 그래파이트 (흑연) 을 구성하는 하나의 레이어 (Single Layer)를 칭합니다. 그래핀은 탄소(Carbon)로 이루어진 구조이며 Carbon-Carbon 은 공유결합으로 연결돼있고, 위 그림처럼 Hexagon 형태를 갖고 있습니다.
그래핀은 여러 독특한 특성들을 가지고 있으며 그중에 하나가 넓은 비표면적을 가지고 있는 것 입니다. 그래핀의 이론적 비표면적은 2630 m2/g 으로 알려져 있습니다.
이번 글에서는 그래핀의 이론적 비표면적을 계산하는 방법을 설명해보고자 합니다.
■ 비표면적의 정의: 입자의 단위 질량당 표면적.
입자가 작아질수록 커지기 때문에 물질의 흡착 계면 현상을 측정하는 데 이용된다.
■ 비표면적의 단위: 단위 m2/g (시료 1g당 표면적)
비표면적의 계산은 단위 Hexagon 의 표면적과 무게를 이용해서 계산할 수 있습니다. 다음 그림에서 볼 수 있는 것처럼, 단위 Hexagon의 Area: Sh 를 계산하고, 그에 따른 무게: Wh 를 계산하여 비표면적의 단위에 따라 계산을 해보면 앞서 설명한 그래핀의 이론적 비표면적을 계산할 수 있습니다.

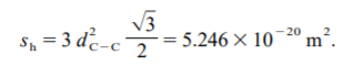
■ Hexagon 의 면적 계산

- Hexagon 에 총 6개의 삼각형 존재
- 필요한 정보: Carbon-Carbon 간의 거리 d (1.42 Å, 1Å = 10^-10 m)
- 삼각형 넓이 = (밑변 x 높이) / 2
- Hexagon 면적(Sh): (3root(3)/2)r2)

■ Hexagon 의 무게 계산
- 하나의 Hexagon Unit에 몇개의 Carbon 원자가 있을까?
각각의 Carbon 원자는 3개의 Hexagon 을 공유하고 있음
총 6개의 Carbon 원자에서 3개를 공유하고 있기 때문에, 6/3 = 2 개의 Carbon 원자가 하나의 Hexagon Unit에 존재함
2개의 Carbon 에 대한 무게를 계산 하면 Wh 를 구할 수 있습니다
Carbon 원자의 무게 : 12.01 g/mol
아보가드로 숫자 (N) = 6.023 x 10^23 mol^-1

■ 비표면적 계산

그래핀 한 면의 비표면적은 1315 m2/g 입니다.
그래핀의 경우 양면이기 때문에 1315 m2/g * 2를 하면 2630 m2/g 으로 이론적인 그래핀의 비표면적입니다.
■ 참고 문헌
How to formally calculate the surface density of layered materials such as graphene?
Typically density is defined in units of mass per volume. In the case of graphene it is mass per area, i.e. surface density. What would be the correct way to calculate the surface density (mass per...
chemistry.stackexchange.com
- A. Peigney et al. / Carbon 39 (2001) 507 –514
2022.03.01 - [뉴스] - 페로브스카이트 태양 전지, 시험 결과 열악한 환경 잘 견뎌
페로브스카이트 태양 전지, 시험 결과 열악한 환경 잘 견뎌
투왈, 사우디아라비아--(Business Wire / 뉴스와이어) 2022년 02월 28일 -- 지속 가능성과 청정에너지라는 메가트랜드가 지구의 녹색 미래를 향한 우리의 접근 방법에 영향을 미치는 가운데 풍력과 태
chemdb.tistory.com
2021.03.01 - [일반화학] - 이온 화합물의 화학식 만드는 방법
이온 화합물의 화학식 만드는 방법
1) 양이온 (첫 번째 단어)의 기호와 전하를 쓰십시오. a) 원소가 1, 2족과 같이 전하가 일정하면, 주기율표를 사용해서 전하를 정할 수 있습니다. b) 금속이 다양한 전하를 갖는 전이 금속인 경우,
chemdb.tistory.com